Fluorescence Resonance Energy Transfer Protocol

Fluorescence Resonance Energy Transfer (FRET) Protocol.

Image
Illustration of FRET

For Fluorescence Resonance Energy Transfer (FRET) to occur it must satisfy 5 criteria (Periasamy and Day 1999)

1. The Emission spectra of one fluorophore (Donor) must significantly overlap the excitation spectra of another fluorophore (Acceptor).

 

2. Donor and Acceptor must be aligned so that an acceptor dipole can be induced by the donor.

 

3. The Donor/Acceptor separation can be no greater than 10nm.

 

4. The Donor has a high quantum yield.

 

5. The Donor is saturated by the acceptor.

 

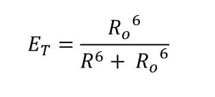
Energy transfer

Image
Illustration of FRET equation

 

Assuming that these criteria have all been met then energy transfer ET will occur and is described by the Forster equation.

 

R = Donor-Acceptor separation distance

Ro = Donor-Acceptor separation distance at which FRET efficiency is 50%

 

 

FRET Advantages/Disadvantages

AdvantagesDisadvantages 
Relatively cheap to implementOnly works if fluorophores are in correct orientation
Measurements are obtained very rapidlySize of probes can introduce problems
Very good at measuring changes in distanceGives no information about which probe moves
 Free fluorophores can mask energy transfer
 FRET pair labelling needs to be bright with the donor completely saturated by acceptor 
 Can be pH sensitive 
 If it doesn't work, it doesn't tell you anything, as you have no idea whether it failed due to incorrect orientation, free fluorophores etc or whether the proteins are simply too far apart. 

There are generally 3 commonly used approaches for measuring FRET.

  • Decreased donor lifetime - measured using Fluorescence Lifetime Imaging Microscopy (FLIM) which requires expensive secondary equipment.
  • Decrease in Donor emission intensity - known as donor quenching, measured by acceptor photobleaching.
  • Increase in Acceptor emission intensity - known as sensitized emission.

fluorescence-lifetime-and-fluorescence-resonance-energy-transfer