Evolution and Genetics

Research on evolution and genetics.

The long-term Rum red deer study allows us to investigate how evolution occurs in natural environments, and the role of individuals’ genes in shaping diversity within populations. Much of this work depends on knowledge of the pedigree of the population; with this information, we can then investigate variation in breeding success, the genetic basis of traits and inbreeding and inbreeding depression.

The Rum study population pedigree (derived as described in Walling et al. 2010 - see link in text).
Figure 1. The Rum study population pedigree (derived as described in Walling et al. 2010).

Red lines show links to mothers; blue lines to fathers. This pedigree shows 3878 deer; there are fewer individuals prior to the early 1970’s when intensive monitoring of the population began

1. The red deer pedigree

Not only do we know every deer in the study population, but we know who their relatives are. We can identify a calf’s mother from observations of suckling in the field. Assigning paternity is more difficult, because males provide no parental care: however, we can use information from DNA samples to identify the father amongst possible candidates. In cases where DNA samples of both calf and father aren’t available, we can also use our detailed observations of behaviour during the mating season (rut): we know when a female gives birth, we can backdate from then to a likely ‘conception window’, and we know which stag’s harem a female was in at the time. Combining this information, we can then identify the parents of each calf and from this build a family tree, or ‘pedigree’, for each individual – see Yosemite’s family for an example on the Meet the Deer page. Figure 1 shows the full pedigree for the population derived as described in Walling et al. (2010).

Walling et al. (2010) article - Comparing parentage inference software: reanalysis of a red deer pedigree (Wiley)

2. Variation in breeding success, and selection

Pedigree information tells us how many offspring each individual had – an indication of their Darwinian fitness. The distribution of breeding success is very different for males and females. As we would expect for a sexually-dimorphic, polygynous species like red deer, males have much higher variance in breeding success: most males sire no offspring at all, whereas a few super-studs sire dozens (see Monarchs of the Glen on the Kilmory Hall of Fame page). In contrast, females produce a single calf most years of their life (75%) after the age of 3 or 4.

Differences in breeding success between individuals generate selection on particular traits or characteristics: for example, males with large antlers produce more calves (Kruuk et al. 2002; Figure 2), as do socially dominant females (Wilson et al. 2011).

Wilson et al (2011) article - Indirect genetics effects and evolutionary constraint: an analysis of social dominance in red deer (Wiley website)

Kruuk et al (2002) article - Antler size in red deer: heritability and selection but no evolution (Wiley website)

See caption.
Figure 2. Stags with large antlers have more offspring.

The figure shows the association between the average weight of a male’s antlers across his lifetime (corrected for variation due to age), and his lifetime breeding success – the total number of calves he fathered. Note that many stags had no offspring (from Kruuk et al. 2002 - see link in text).
See caption.
Figure 3. Sources of variance in birth weight of red deer calves.

The graph partitions the total variance in calf birth weight (after correcting for sex and mother’s age) into contributions from additive genetic (heritable) effects, maternal genetic effects (i.e. due to the mother’s genotype), maternal environment (permanent differences between individual mothers not due to genetic effects), matriline environment (the shared environment of the group of matrilineal relatives), and year (from Kruuk & Hadfield 2007 - see link in text).

3. The genetic basis of complex traits (‘quantitative genetics’)

We can also use pedigree information to see how much of the observed variance (differences) between individuals is due to genetic versus environmental effects. Relatives share genes – therefore if a particular characteristic such as body size or fertility is strongly determined by genetic effects, relatives should have similar values for that characteristic. Of course they may also have similar values because they’ve shared a similar environment, and this can also be accounted for.

Figure 3 shows the contribution of different factors to the total variation (differences) in calf birth weight. A hind’s genes are the most important factor (‘maternal genetic’ effects) – but the environment she has experienced, and in particular aspects of the environment she has shared with female relatives in the same matriline as her, also make substantial contributions.

Using this approach, we have shown that many different deer characteristics are heritable, for example: offspring birth weight (shown above), antler size, adult body size, the timing of different events in the deer year such as calving or antler shedding, and annual fecundity for both males and females.

We are also working on whether the same genes affect more than one trait, so that traits are genetically correlated, and whether there are evolutionary trade-offs between different aspects of fitness such as fecundity and survival, or male and female performance. 

Kruuk and Hadfield (2007) - How to separate genetic and environmental causes of similarity between relatives (Wiley website)

A pedigree can also tell us how much inbreeding – or mating between relatives – there is in a population. This is important because inbreeding may generate inbreeding depression: lower fitness or performance in inbred offspring. Amongst individuals born between 1980 and 2010 for whom we know all four grandparents, 42% are the result of matings between relatives (Walling et al. 2011). However, very few of these involve inbreeding between close relatives: out of 1848 pairings where we can test for any inbreeding, there are just nine cases (or 0.5%) of father-daughter matings, and no mother-son or full-sibling matings  (though full-siblings are rare). There are also 24 (1.3%) cases of matings between half-siblings. The great majority of inbreeding events are therefore between more distant relatives.

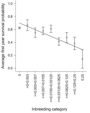
Inbreeding causes a dramatic reduction in offspring fitness. The chances of surviving to one year decrease with increasing relatedness of a calf’s parents: for a father-daughter mating, first-year survival is reduced by 77%, but even moderately-inbred offspring also have reduced fitness (Figure 4). This reduced survival is not simply due to lower birth weight (Walling et al. 2011).

Figure 4 - see caption and main text. Main text describes the data trend.
Figure 4. The effect of inbreeding on the probability of a calf surviving to one year old. Inbreeding category 0 = unrelated parents; 0.25 = result of a father-daughter mating (from Walling et al. 2011 - see link in text).